প্রতিকূল ক্লিনিকাল ফলাফলের জন্য বয়স এবং EGFR-নির্ভর ঝুঁকি Ⅱ
Sep 14, 2023
বয়স এবং ইজিএফআর এবং সর্ব-কারণ মৃত্যুর মধ্যে সম্পর্ক আপেক্ষিক সমিতি (বিপদ অনুপাত)
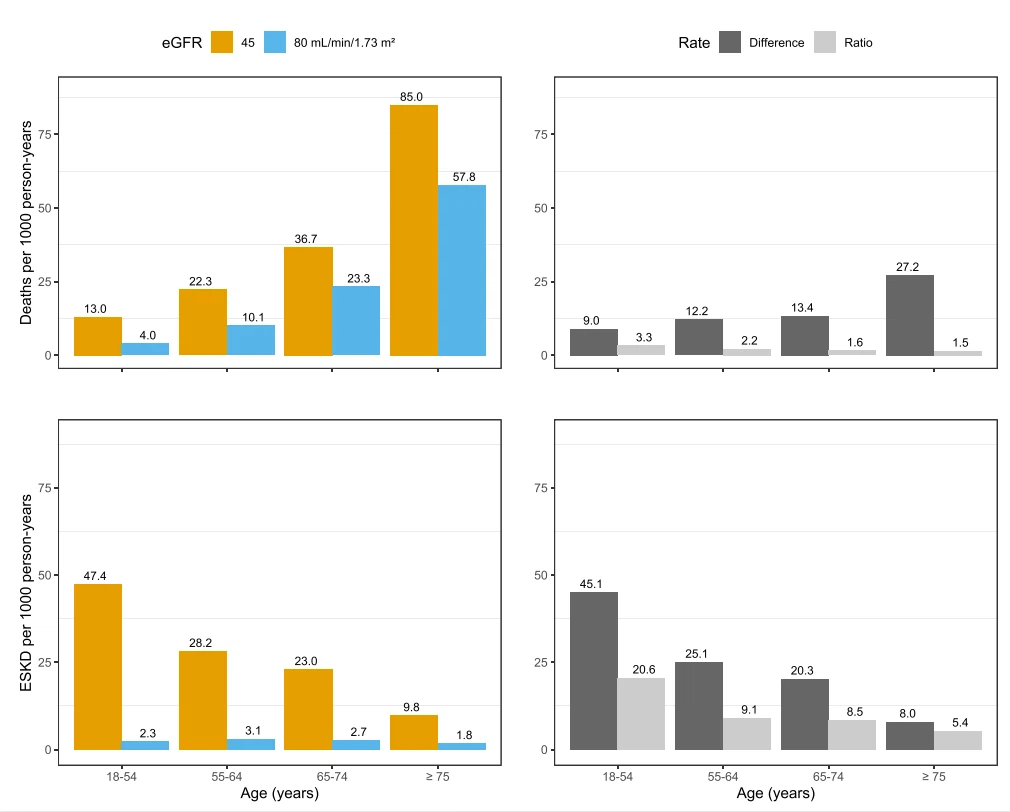
CKD-PC সমীক্ষায়, ক্রমবর্ধমানভাবে কম eGFR বনাম একটি ধ্রুবক রেফারেন্স মানের সাথে যুক্ত সামঞ্জস্যকৃত বিপদ অনুপাতের বক্ররেখা বয়স্ক বয়সের সাথে কম খাড়া হয়ে ওঠে (অর্থাৎ কম পরিমাণে বৃদ্ধি পায়) [3]। আপেক্ষিক মৃত্যুর হার অনুপাত (eGFR 45 বনাম 80 mL/min/1.73 m2) বয়স বৃদ্ধির সাথে সাথে হ্রাস পেয়েছে (চিত্র 2, উপরের ডান প্যানেল)। প্রতিটি বয়স বিভাগের জন্য 80 mL/min/1.73 m2 একটি সাধারণ রেফারেন্স eGFR ব্যবহার করে, মৃত্যুর জন্য সামঞ্জস্যকৃত বিপদ অনুপাত উল্লেখযোগ্যভাবে বৃদ্ধি পেতে শুরু করে যখন eGFR প্রায় ছিল<60 mL/min/1.73 m2 across all age groups. This finding of relative change in "speed" was adopted to support the use of a single eGFR threshold for defining CKD [19]. However, change in speed does not inform about the distance the disease has traveled by level of exposure and modifier (eGFR and age, respectively), and thus cannot stand alone in the assessment of these associations. In other words, we cannot understand the distance traveled (risk at certain time horizons of interest) from the change in speed.

কিডনি স্বাস্থ্যের জন্য CISTANCH পেতে এখানে ক্লিক করুন
আপেক্ষিক ব্যবস্থার রিপোর্ট করার সময় বিবেচনা করার আরেকটি বিষয় হল যে আপেক্ষিক সমিতিগুলি রেফারেন্স বিভাগের পছন্দের উপর নির্ভর করে। যদি আমরা একমত যে eGFR বয়স্ক বয়সের সাথে হ্রাস পায়, তাহলে আমাদের একটি বয়স-অভিযোজিত eGFR রেফারেন্স বিভাগ ব্যবহার করা উচিত। সমস্ত বয়সের জন্য একটি সাধারণ রেফারেন্স ইজিএফআর ব্যবহার করার পরিবর্তে [৩], প্রতিটি বয়সের মধ্যে রেফারেন্স বিভাগ পরিবর্তনকারী ডেটার পুনঃবিশ্লেষণ দৃশ্যত ভিন্ন ফলাফলে পৌঁছেছে: মৃত্যুর ঝুঁকি অনুপাত একইভাবে বৃদ্ধি পেয়েছে যখন CKD-এর থ্রেশহোল্ড ছিল 18-54 বছর বয়সী ব্যক্তিদের মধ্যে 60 থেকে 75 mL/min/1.73 m2 বৃদ্ধি পেয়েছে, 55-64 বছর বয়সীদের মধ্যে 60 mL/min/1.73 m2 এর সমান রক্ষণাবেক্ষণ করা হয়েছে এবং বৃহত্তর বয়স্কদের মধ্যে 45 mL/min/1.73 m2-তে নেমে এসেছে। ৬৫ বছর বা তার সমান [১৪]। অ্যাসোসিয়েশনের আপেক্ষিক পরিমাপ ব্যবহার করার সময়, রেফারেন্স বিভাগের পছন্দ গুরুত্বপূর্ণ।

পরম হার
CKD-PC সমীক্ষায় [3], কম eGFR-এর সাথে সম্পর্কিত পরম মৃত্যুর হারের বক্ররেখাটি বয়স্ক বয়সের সাথে আরও বেশি ছিল, পরামর্শ দেয় যে ক্রমবর্ধমানভাবে কম eGFR এর সাথে যুক্ত মৃত্যুর হারের পার্থক্যগুলি ছোট বয়সের বিভাগের তুলনায় বয়স্কদের মধ্যে বড় ছিল। উদাহরণস্বরূপ, 45 বনাম 80 mL/min/1.73 m2 এর মধ্যে মৃত্যুর হারের পার্থক্য হল প্রতি 1000 ব্যক্তি-বছরে 27.2 মৃত্যু 75 বছরের বেশি বা তার সমান এবং প্রতি 1000 জনে 9.0 মৃত্যু- 18-54 বছর বয়সের জন্য বছর (চিত্র 2, শীর্ষ প্যানেল)। বয়সের গোষ্ঠীতে মৃত্যুহারের পার্থক্যের (দূরত্বের পরিবর্তে গতি) তুলনা করা সমস্যাযুক্ত [১৪], কারণ বয়সের সাথে সাথে মৃত্যুহার বৃদ্ধি পায়, যার ফলে বয়সের গোষ্ঠীতে বিভিন্ন বেসলাইন মৃত্যুর ঝুঁকি থাকে। এছাড়াও, পরবর্তী 10 বছরে একজন যুবকের (বলুন একজন 40-বছর বয়স্ক) মারা যাওয়ার অর্থ পরবর্তী 10 বছরে একজন বৃদ্ধ (80-বছর বয়সী) মারা যাওয়া থেকে অনেকটাই আলাদা। . অবশেষে, মৃত্যুর হার কদাচিৎ স্থির থাকে [২০]।
পরম ঝুঁকি
Absolute risk data overcome the limitations of relative associations (which are reference-sensitive) or rates (interpretationand time-variability). Absolute risk data can be obtained after controlling for confounding by regression (adjusted cumulative incidence functions from cause-specific or sub-hazard regression models [9, 10]) or stratification. A Canadian population-based cohort study reported data on the underlying mortality risks in people 65 years or older with normal or mild albuminuria. In this study including 127 132 people who had CKD according to current eGFR criteria (a fixed threshold of 60 mL/min/1.73 m2), as many as 54 342 (43%) were 65 years or older and had a baseline eGFR of 45–59 mL/min/1.73 m2 with normal or mild albuminuria. The difference in the 5-year absolute risk of death between people with an eGFR of 45–59 mL/min/1.73 m2 and those with an eGFR of 60–89 mL/min/1.73 m2 (non-CKD controls) was minimal in age groups 65–74 and ≥75 years (Fig. 3, top panels). While 5-year mortality risk was higher for eGFR of 15– 44 mL/min/1.73 m2 within each age subgroup (65–69, 70–74, 75– 79 and ≥ 80 years), the difference between eGFR 45–59 and 60–89 mL/min/1.73 m2 was small in all age categories >65 বছর (চিত্র 4, শীর্ষ প্যানেল)। চিত্র 5 ইভেন্টের ধরন অনুসারে 5- বছরের ঝুঁকির বন্টন দেখায় (ডিখাওয়া এবং কিডনি ব্যর্থতা) একটি ক্রমাগত পরিবর্তনশীল হিসাবে বিবেচিত বয়সের বেশি। বয়স এবং 5- বছরের ঝুঁকির মধ্যে সম্পর্ক কেবলমাত্র 45–59 এবং 60–89 mL/min/1.73 m2 এর eGFR মাত্রা দ্বারা স্বাভাবিক বা হালকা অ্যালবুমিনুরিয়ায় আক্রান্ত বয়স্ক ব্যক্তিদের মধ্যে সামান্য পরিবর্তিত হয়েছিল (সিকেডিতে আক্রান্ত অধিকাংশ বয়স্ক ব্যক্তি বর্তমান eGFR মানদণ্ডে; চিত্র 4, নীচের প্যানেল) [7]।

চিত্র 2: মৃত্যুর আপেক্ষিক এবং নিখুঁত হার এবং বয়সের বিভাগ অনুসারে eGFR এর সাথে যুক্ত ESKD (CKD-PC অধ্যয়ন)। ESKD কে ডায়ালাইসিসের সূচনা, কিডনি প্রতিস্থাপন বা তীব্র কিডনি আঘাত ব্যতীত কিডনি রোগের কারণে মৃত্যুর কোড হিসাবে সংজ্ঞায়িত করা হয়েছিল। ডেটা CKD-PC গবেষণা থেকে ছিল [3]। বাম প্যানেল: নিখুঁত মৃত্যুহার (শীর্ষ) এবং ESKD হার (নীচে) 45 এর একটি eGFR বনাম 80 mL/min/1.73 m2 বয়সের বিভাগগুলির সাথে যুক্ত। ডান প্যানেল: 45 থেকে 80 mL/min/1.73 m2 পর্যন্ত ইজিএফআর পরিবর্তনের সাথে সম্পর্কিত মৃত্যুর হার (শীর্ষ) এবং ESKD হারের (নীচে) পার্থক্য এবং অনুপাত।

ব্যর্থতা আপেক্ষিক সমিতি (বিপদ অনুপাত)
CKD-PC সমীক্ষার ডেটা দেখায় যে কম eGFR-এর সাথে ESKD-এর আপেক্ষিক বিপদগুলি 41-51 mL/min/1.73 m2 এর eGFR-এর সাথে অল্পবয়সী বয়সের গ্রুপে সামান্য শক্তিশালী সম্পর্ক বাদ দিয়ে, বয়সের শ্রেণীতে তুলনীয় ছিল। ]। মিথস্ক্রিয়া প্রমাণের এই আপাত অভাব মানে কি? একটি রেফারেন্স eGFR 80 mL/min/1.73 m2 এর সাথে তুলনা করে, একটি eGFR স্তর<60 mL/min/1.73 m2 was associated with an increased hazard of ESKD in both younger and older adults [3]. Does the increased relative hazard of ESKD at eGFR <60 mL/min/1.73m2 across all age groups support the use of a single eGFR threshold for defining CKD?

পরম হার
একই সমীক্ষায়, লেখকরা প্রতিটি বয়স বিভাগের মধ্যে ইজিএফআর অনুসারে ESKD এর জন্য গড় ঘটনার হার রিপোর্ট করেছেন [3]। 60 mL/min/ 1.73 m2 এর চেয়ে বড় বা সমান eGFR-এর জন্য ESKD-এর হার 0-এর কাছাকাছি ছিল এবং শুধুমাত্র যখন eGFR 45 mL/min/1.73 m2 এর নিচে ছিল, বিশেষ করে বয়স্কদের জন্য ব্যক্তি: 23। 45 বনাম 80 mL/min/1.73 m2 এর eGFR এর সাথে যুক্ত ESKD হারের পার্থক্য ক্রমবর্ধমান বয়সের সাথে ছোট বলে মনে হয়েছে (উদাহরণস্বরূপ, 45.1 বনাম 8.0 ক্ষেত্রে প্রতি 1000 ব্যক্তি-বছর বয়সের জন্য 75 বনাম 18-54 এর চেয়ে বেশি বছর; চিত্র 2, নীচের প্যানেল), যদিও "একটি সীমিত জিএফআর পরিসর ব্যতীত পরম ঝুঁকির পার্থক্য উল্লেখযোগ্য ছিল না যেখানে সামঞ্জস্যপূর্ণ গড় ESKD ঘটনার হার সর্বকনিষ্ঠ বয়সের মধ্যে বেশি ছিল" [৩]। যদিও আপেক্ষিক বিপদের সঠিক ব্যাখ্যার জন্য রোগ সংঘটনের নিখুঁত পরিমাপের তথ্য প্রয়োজন, আমাদের মনে রাখা উচিত যে লেখকরা হার রিপোর্ট করেছেন, ঝুঁকি নয়। একটি হার একটি "গতি" এবং এইভাবে একটি সময়ের ব্যবধানে পরম ঝুঁকি সম্পর্কে শুধুমাত্র পরোক্ষ তথ্য প্রদান করে। পরম অনুমানকিডনি ব্যর্থতার ঝুঁকিএর উপর ইজিএফআর হ্রাসের প্রভাব আমাদের আরও ভালভাবে বুঝতে সাহায্য করবেকিডনি ব্যর্থতার ফলাফলবয়স জুড়ে।

পরম ঝুঁকি
যদিও বয়স নির্বিশেষে ESKD এর আপেক্ষিক বিপদ নাটকীয়ভাবে কম eGFR এর সাথে বৃদ্ধি পায়, পরমকিডনি ব্যর্থতার ঝুঁকিবয়স বাড়ার সাথে সাথে ছোট হয়ে যায়। স্বাভাবিক বা হালকা অ্যালবুমিনুরিয়ায় আক্রান্ত বয়স্ক ব্যক্তিদের বিবেচনায়, এমনকি যদি ESKD এর আপেক্ষিক ঝুঁকি 45–59 এর eGFR বনাম 60–89 mL/min/ 1.73 m2 এর জন্য বেশি হয়, তাহলে 5 বছরে কিডনি ব্যর্থতার পরম ঝুঁকি খুবই কম (যত কম 0.1%) এবং এইভাবে সন্দেহজনক ক্লিনিকাল প্রাসঙ্গিকতা (চিত্র 3, নীচের প্যানেল)। বিপরীতভাবে, 5-বছরে মৃত্যুর পরম ঝুঁকি খুব বেশি (যথাক্রমে 65-74 বছর বয়সী মানুষের মধ্যে 9.7% এবং 7.3%; চিত্র 3, শীর্ষ প্যানেল) [7]। আপেক্ষিক ব্যবস্থার উপর দৃষ্টি নিবদ্ধ করে, আমরা লক্ষ্য করে বিভ্রান্ত হতে পারি যে {{20}}বছরের কিডনি ব্যর্থতার ঝুঁকি eGFR 45– 59 বনাম 60-89 mL/min/ এর মানুষের মধ্যে প্রায় এক থেকে দুই গুণ বেশি। 1.73 m2 80 বছর বয়স পর্যন্ত এবং তারপরে 80 বছর বয়সের পরে এটি কম হতে পারে (চিত্র 5, ডান প্যানেল)। যাইহোক, দুটি ইভেন্টের (y-অক্ষের টিক লেবেল) ঝুঁকি পরিসরের দিকে তাকালে আমরা দেখতে পাই যে আসলেই কী গুরুত্বপূর্ণ: বয়স্ক ব্যক্তিদের মধ্যে স্বাভাবিক বা হালকা অ্যালবুমিনুরিয়া সহ বয়স্ক ব্যক্তিদের মধ্যে মৃত্যুর ঝুঁকি 5% থেকে বেড়ে যায় 5- 100%, যখন 5-বছরের কিডনি ব্যর্থতার ঝুঁকি 0.01% এবং 0.1% এর মধ্যে থাকে, eGFR 45 mL/min/1.73 m2 এর উপরে বা নীচে যাই হোক না কেন।
ব্যাখ্যা করার জন্য, আসুন বাইকের উদাহরণটি আবার দেখি। ধরা যাক দুই জোড়া বাইকার আছে, একজনের বয়স ৬৫ বছর এবং একজনের বয়স ৮৫ বছর। প্রতি জোড়া বাইকারের জন্য, একজন ব্যক্তির একটি eGFR 45– 59 mL/min/1.73 m2 এবং একজনের 60–89 mL/min/1.73 m2। কম eGFR সহ ব্যক্তি যে কোনো ইভেন্টের দিকে দ্রুত ভ্রমণ করেন। যাইহোক, রোগের গতিপথে প্রতিটি জোড়া বাইকারের অবস্থান বয়সের উপর নির্ভর করে। ইজিএফআর এবং বয়স নির্ণয় করার সময় থেকে যেকোন সময় দিগন্তে, বয়স্ক দম্পতিরা মৃত্যুর গতিপথে দীর্ঘ যাত্রা করেছে (মৃত্যুর সম্ভাবনা বেশি হবে) এবং কিডনি ব্যর্থতার দিকে ট্র্যাজেক্টোরিতে একটি ন্যূনতম দূরত্ব (ভ্রমণ করবে) দিকে যাত্রার একটি ছোট অংশকিডনি ব্যর্থতা) বিপরীতটি হবে কনিষ্ঠ জুটির (ছবি 6)।
লক্ষণীয়, পরম ব্যবস্থাগুলি অনেকগুলি কারণের উপর নির্ভরশীল, যা অধ্যয়নের ফলাফলগুলি ব্যাখ্যা করার সময় সাবধানে বিবেচনা করা দরকার [3, 7]। উদাহরণস্বরূপ, CKD-PC গবেষণায় রিগ্রেশন মডেল ব্যবহার করে একটি বয়স বিভাগের মধ্যে eGFR-এর প্রদত্ত মানের জন্য পরম হার অনুমান করা হয়েছে। হার অনুমান (অর্থাৎ গতি মূল্যায়ন) প্রতিযোগিতামূলক ইভেন্টগুলির জন্য অ্যাকাউন্টের প্রয়োজন নেই। যাইহোক, প্রতিযোগিতামূলক ঝুঁকির উপস্থিতিতে সরাসরি হার থেকে ঝুঁকি আহরণ করা যায় না। কানাডিয়ান গবেষণাটি ইজিএফআর এবং বয়স দ্বারা স্তরিত প্রতিযোগিতামূলক ঝুঁকি সহ পরম ঝুঁকির কথা জানিয়েছে। উপরন্তু, অধ্যয়নের অধীনে জনসংখ্যা, এবং এইভাবে বেসলাইন ঝুঁকি, দুটি গবেষণায় ভিন্ন। কানাডিয়ান গবেষণায় জনসংখ্যা-ভিত্তিক ডেটা ব্যবহার করা হয়েছে এবং CKD সহ লোকেদের অন্তর্ভুক্ত করা হয়েছে যাদেরকে 3 মাসেরও বেশি সময় ধরে একটি থ্রেশহোল্ডের নিচে টেকসই eGFR হিসাবে সংজ্ঞায়িত করা হয়েছে (নির্দেশিকাটির সুপারিশ অনুসরণ করে [21]), এবং এর প্রধান বিশ্লেষণগুলি স্বাভাবিক বা হালকা অ্যালবুমিনুরিয়ায় আক্রান্ত বয়স্ক ব্যক্তিদের উপর দৃষ্টি নিবদ্ধ করে। যার CKD সংজ্ঞা বিতর্কিত। CKD-PC গবেষণায় সাধারণ এবং উচ্চ কার্ডিওভাসকুলার-ঝুঁকি অন্তর্ভুক্ত ছিলসমগোত্রীয়দের পাশাপাশি CKD সমগোত্রীয় (CKD একটি নির্দিষ্ট সময়ের জন্য একটি থ্রেশহোল্ডের নীচে eGFR-এর টেকসই হ্রাস হিসাবে সংজ্ঞায়িত করা হয়েছিল কিনা তা স্পষ্ট নয়), এবং CKD-PC অংশগ্রহণকারীদের মধ্যে মাত্র 7.3% 75 বছর বা তার বেশি বয়সী ছিল। অবশেষে, CKD-PC গবেষণায়, ESKD কিডনি ব্যর্থতার একটি ব্যাপক সংজ্ঞা ছিল না। কিডনি প্রতিস্থাপন এড়ানোর পছন্দ এবং কিডনি ব্যর্থতার রক্ষণশীল যত্ন বেছে নেওয়া বয়স্ক বয়সের সাথে বেশি সাধারণ [18]।

চিত্র 4: সাধারণ/হালকা অ্যালবুমিনুরিয়ায় আক্রান্ত ব্যক্তিদের মধ্যে বেসলাইন eGFR এবং বয়স বিভাগ (65-69, 70-74, 75-79, 80 বছরের বেশি বা সমান) 5 বছরে মৃত্যু এবং কিডনি ব্যর্থতার আপেক্ষিক এবং পরম ঝুঁকি। . এই পরিসংখ্যানটি লিউ এট আল।, JAMA ইন্টার্ন মেডের অনুমতিতে ক্রনিক কিডনি ডিজিজ (2021) এর সংজ্ঞায় বয়সের জন্য অ্যাকাউন্টিং [7]।কিডনি ব্যর্থতার ঝুঁকি(কেএফ) এবং সূচক ইজিএফআর (বেসলাইন ইজিএফআর) দ্বারা 5 বছর বয়সে এবং স্বাভাবিক/হালকা অ্যালবুমিনুরিয়া সহ বয়স্ক ব্যক্তিদের মধ্যে মৃত্যু।
